服务热线:13961866982
产品展示
Products
新闻动态
News Center
  • 位于传承了千年的鱼米之乡,历久弥新的工业摇篮,无锡素有“太湖明珠”之美誉,这里风光绝美,陶冶人们的文化气质,这里科技发达,培养了无数的杰出人才
    2023-08-15
  • 空气热交换器(又名散热器或散热排管),是以冷热媒介进行冷却或加热空气的换热装置中的主要设备,通入高温水,蒸汽或高温导热油可以加热空气,通入盐水或低温水可以冷却空气,因此它可以广泛应用于轻工
    2023-08-15
  • 我厂是生产换热器的专业性工厂,多年来,在各大专院校、科研单位的鼎力相助和各用户单位的大力支持下,已形成了一定规模的换热器生产体系。我厂生产螺旋板式换热器、列管式冷凝器、烟气换热器、空气冷却器等。以及生产各种规格型号的换热器和散热器,而且还在不断地开发新的散热器品
    2023-08-15
  • 我厂管理体系完善,技术力量雄厚,加工设备齐全,产品性能具有国内先进水平,产品质量居于国内同行业领先地位。优质的产品,完善的售后服务,使我厂竖立了良好的企业形象,并得到广大用户的一致好评和信赖。本厂服务宗旨:产品质量以优争先
    2016-07-07
您当前的位置: 首页 产品介绍
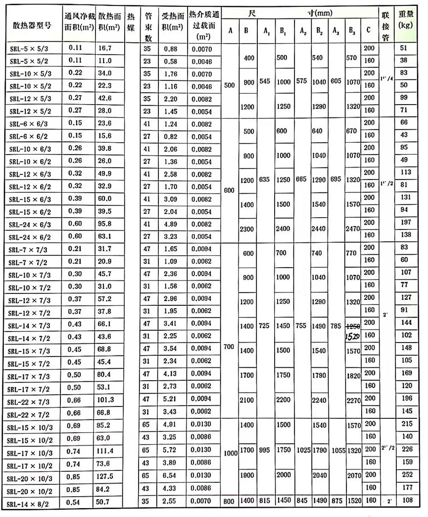
SRL型空气热交换器

   SRL型空气热交换器共有37种规格,该空气热交换器是采用钢管铝翅片管束组成,故铝片与钢管接触紧密,散热性能好,使用可靠。
SRL型空气热交换器以蒸汽或过热水为热媒,蒸汽压力高为8Kg/㎝²:过热水温度为160℃,适用于空气调节系统及干燥室内的空气加热。
SRL型散热器在顺气流方向分二排管与三排管排列,其型号举例如下:
SRL-5×5/2——顺气流方向二排管交叉排列。
SRL-5×5/3——顺气流方向三排管交叉排列。

SRL型空气热交换器传热系数、阻力如下表

SRL型散热器基本参数见表